PEG可以與藥物共價結合形成復合物,用于控制藥物的釋放,延長藥物的半衰期,降低免疫原性和抗原性,降低毒性,增強藥物靶向性,減少劑量和給藥頻率。PEGylation可以改善許多藥物的藥動學性質。

蛋白質類藥物主要包括細胞因子、酶、抗體、激素等一些具有特殊功能的蛋白質。由于天然或重組的未經修飾的蛋白質類藥物具有半衰期短、有一定的免疫原性、溶解度低、毒副作用大、易被蛋白酶降解等缺點,從而減弱了其臨床效果。
目前,用于預防、治療和診斷疾病的多肽類藥物主要包括多肽疫苗、抗腫瘤多肽、抗病毒多肽、多肽導向藥物、細胞因子模擬肽、抗菌性活性肽、診斷用多肽以及其他藥用小肽等。
修飾機理
PEG修飾蛋白質和肽類藥物可以延長藥物的半衰期、降低免疫原性,同時盡量保留其生物活性。其機理為:蛋白質經過PEG化學修飾之后,修飾劑與蛋白質分子偶聯,使得蛋白質的分子量增大,空間結構發生改變。PEG在被清除前不會被降解,PEG的屏障作用保護了蛋白質不易被蛋白酶降解,同時減少了抗體的產生,當修飾后的蛋白質分子量達到或超出腎小球濾過作用的閔值時,蛋白質隨血液循環進入腎臟后就可以逃避腎小球濾過作用,因而可以在血液循環中停留更長的時間。
主要修飾位點
在構成蛋白質的20種常見氨基酸中,只有具有極性的氨基酸殘基的側鏈基團才能夠進行PEG修飾。其親核活性通常按下列順序依次遞減:巰基>α-氨基>?-氨基>羧基>羥基。常用的氨基酸是蛋白質序列中的半胱氨酸、賴氨酸以及氮末端和碳末端氮基酸。
PEG和蛋白質或多肽之間的反應主要為酰化反應、烷基化反應、氧化還原反應、芳香環取代反應等,對蛋白、肽類藥物修飾途徑主要有氨基修飾(包括N端氨基的?;揎?、賴氨酸側鏈氨基的?;揎棥端氨基的烷基化修飾)、羧基修飾、巰基修飾,還有其它如控制pH選擇性修飾蛋白質側鏈基團、金屬離子或酶催化、糖蛋白中糖基定點修飾等。
1)氨基修飾
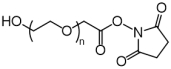
氨基修飾常用修飾劑為PEG-SS、PEG-SC、PEG-SPA、PEG-NHS、PEG-BTC、PEG-CHO、PEG-ALD、PEG-tresylate和PEG-epoxide等。
人類白細胞抗原(Human leucocyte antigen, HLA)是保持個體穩定的一組糖蛋白,在移植免疫中起著重要作用。為了研究mPEG 有效修飾HLA 抗原,阻斷HLA 抗原與其相應抗體間特異性免疫反應的方法。隨機挑選41例無償血清10ml,用淋巴細胞分離液分離淋巴細胞,用HEPES/RPMI-1640 洗滌3次,調細胞濃度至每毫升2×105左右。在22℃,pH 7.4的PBS介質中,采用濃度梯度法用mPEG-BTC(MW 5kD)修飾淋巴細胞表面HLA-I類抗原。結果顯示經mPEG-BTC取代后的淋巴細胞表面HLA-I類抗原與其相應抗體間的微量淋巴細胞毒試驗為陰性。也就是經mPEG修飾后可以阻斷HLA- I類抗原與其相應抗體間的特異性免疫反應[1]。
將奧曲肽與SPA-mPEG(MW 2000)或ALD-mPEG(MW 2000/5000)進行化學改性,通過生物活性檢測發現,SPA-mPEG修飾的奧曲肽顯示出較低的活性,而ALD-mPEG定點修飾在奧曲肽的N末端,生物活性沒有降低且ALD-mPEG 5K能顯著改善藥代動力學特性[2]。
2)巰基修飾
蛋白質中和多肽中只有半胱氨酸含有巰基,利用巰基的高親核性,可以選取能定向修飾蛋白質和多肽的PEG修飾劑。相對沒有半胱氨酸的蛋白質,可以通過基因工程手段或是Traut’s試劑(2-亞氨氫氯化硫醇)處理蛋白引入巰基反應位點。常用修飾劑為PEG-Mal、PEG-OPSS、PEG-VS、PEG-IA、PEG-DAQ和PEG-Se等。
人睫狀神經營養因子(human ciliary neuronotrophic factor,hCNTF)在中樞神經系統中可以促進神經干細胞的增殖,抑制其向膠質細胞的分化,具有保護受損神經元的功能。采用mPEG-MAL(MW 40kDa),對重組人睫狀神經營養因子突變體CNTF-C17的第17位半胱氨酸巰基進行定點修飾。實驗結果表明,在pH 8.0的Tris-HCl緩沖液體中,蛋白質與修飾劑的比例為1:3,4℃下反應12h,修飾率可達到90%以上,通過陰離子交換層析可獲得純度95%以上的單修飾產物。通過藥代動力學考察,體內循環半衰期相對原蛋白顯著提高了30.3倍[3]。
3)羧基修飾
羧基修飾位點包括天冬氨酸、谷氨酸及末端羧基。首先需將羧基活化,即先將PEG中的羧基轉化為氨基,再在DCCI或EDC存在下與蛋白質的羧基結合,常用的修飾劑為PEG-HZ或PEG-NH2[4]。
單鏈聚乙二醇只有末端可用于修飾新型偶聯藥物,因此載藥量較低。后續不斷開發出支鏈聚乙二醇,支鏈結構在一個或多個端上具有官能團,如末端呈樹枝結構的支鏈PEG、叉狀PEG和多臂PEG等,從而實現多種共軛可能性,且大大增加了載藥量。
PEG修飾劑列表
貨號 | 品名 | 描述 |
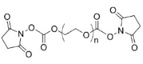
| ECS4133A | mPEG-NHS, MW 350 | mPEG-Succinimidyl ester ![]() |
| AJL0190A | mPEG-SC, MW 1K | |
| ACS0112B | mPEG-SC, MW 2K | |
| ECS4382A | mPEG-SC, MW 3.4K | |
| AJL0190B | mPEG-SC, MW 5K | |
| ACS0115B | mPEG-SC, MW 10K | |
| ECS4219A | mPEG-SPA, MW 1K | mPEG-Succinimidyl Propionate ![]() |
| ECS4356A | mPEG-SPA, MW 2K | |
| ECS4275A | mPEG-SPA, MW 5K | |
| ECS4094A | mPEG-SPA, MW 20K | |
| ECS4284A | mPEG-SS, MW 5K | mPEG-Succinimidyl Succinate ester ![]() |
| ECS2001A | mPEG-SCM, MW 20K | mPEG-Succinimidyl Carboxymethyl Ester ![]() |
| ECS2103A | mPEG-SCM, MW 40K | |
| ECS4171A | mPEG-SG, MW 2K | mPEG-Succinimidyl Glutarate ester ![]() |
| ECS4334A | mPEG-SVA, MW 5K | mPEG-Succinimidyl valerate ![]() |
| ECS4154A | mPEG-Mal, MW 350 | mPEG-Maleimide ![]() |
| ECS4155A | mPEG-Mal, MW 500 | |
| ECS4156A | mPEG-Mal, MW 1K | |
| DCS0133A | mPEG-Mal, MW 2K | |
| ECS4168A | mPEG-Mal, MW 4K | |
| ACS0135B | mPEG-Mal, MW 5K | |
| ACS0136A | mPEG-Mal, MW 10K | |
| ACS0137A | mPEG-Mal, MW 20K | |
| ECS4150A | mPEG-ALD, MW 1K | mPEG-Aldehyde ![]() |
| ECS4194A | mPEG-CHO, MW 2K | |
| ACS0121A | mPEG-CHO, MW 5K | |
| ECS4212A | mPEG-EPO, MW 550 | mPEG-Epoxide ![]() |
| ECS4198A | mPEG-EPO, MW 2K | |
| ECS4182A | mPEG-EPO, MW 10K | |
| ECS4317A | mPEG-HZ, MW 350 | mPEG-Hydrazide ![]() |
| ECS4278A | mPEG-HZ, MW 2K | |
| ECS4157A | mPEG-NH2, MW 350 | mPEG-Amine |
| ECS4244A | mPEG-NH2, MW 550 | |
| ECS2165A | mPEG-NH2, MW 1K | |
| ACS0105B | mPEG-NH2, MW 2K | |
| ACS0106B | mPEG-NH2, MW 3.4K | |
| ECS4296A | mPEG-NH2, MW 4K | |
| ACS0107B | mPEG-NH2, MW 5K | |
| ECS2180A | mPEG-NH2, MW 10K | |
| ACS0109B | mPEG-NH2, MW 20K | |
| ECS2069C | Mal-PEG-SCM, MW 2K | Maleimide-PEG-Succinimidyl Carboxymethyl Ester ![]() |
| ECS2069B | Mal-PEG-SCM, MW 5K | |
| ECS2069A | Mal-PEG-SCM, MW 10K | |
| ECS4208A | Mal-PEG-NHS, MW 200 | Maleimide-PEG-NHS ![]() |
| ACS1695B | Mal-PEG-NHS, MW 2K | |
| ECS2072A | Mal-PEG-NHS, MW 3.4K | |
| ECS2065A | Mal-PEG-NHS, MW 5K | |
| ECS4137A | MAL-PEG-SVA, MW 5K | Maleimide-PEG-Succinimidyl valerate ![]() |
| ECS4192A | Mal-PEG-HZ, MW 2K | Maleimide-PEG-Hydrazide ![]() |
| ECS2005A | NHS-PEG-SH,MW 200 | Thiol-PEG- Succinimidyl ester ![]() |
| ECS2006A | NHS-PEG-SH,MW 400 | |
| ECS2007A | NHS-PEG-SH,MW 500 | |
| ECS2017A | SH-PEG-NHS, MW 600 | |
| ECS2009A | NHS-PEG-SH,MW 800 | |
| ECS2010A | NHS-PEG-SH,MW 1K | |
| ECS4307A | SH-PEG-NHS, MW 2K | |
| ECS4407A | SH-PEG-NHS, MW 5K | |
| ECS4205A | SH-PEG-NH2, MW 600 | Thiol-PEG-Amine |
| ECS4095A | SH-PEG-NH2, MW 2K | |
| ECS1978B | SH-PEG-NH2, MW 3.4K | |
| DCS2049A | SH-PEG-NH2, MW 5K | |
| ECS4142A | SH-PEG-NH2, MW 10K | |
| ECS2096A | SH-PEG-COOH, MW 400 | Thiol-PEG-Acid |
| ECS4245A | SH-PEG-COOH, MW 1K | |
| ECS1991B | SH-PEG-COOH, MW 2K | |
| ECS2021A | SH-PEG-COOH, MW 3.4K | |
| ECS2118A | SH-PEG-COOH, MW 5K | |
| ECS2182A | SH-PEG-CHO, MW 5K | Thiol-PEG- Aldehyde |
| ECS4174A | SH-PEG-SH, MW 400 | Thiol-PEG-Thiol |
| ECS4173A | SH-PEG-SH, MW 600 | |
| ECS2084A | SH-PEG-SH, MW 2K | |
| ECS4143A | SH-PEG-HZ, MW 10K | Thiol-PEG-Hydrazide ![]() |
| ECS4383A | SH-PEG-Biotin, MW 200 | Thiol-PEG-Biotin ![]() |
| ECS4412A | SH-PEG-Biotin, MW 5K | |
| ECS4292A | SC-PEG-SC, MW 400 | Succinimidyl ester-PEG-Succinimidyl ester ![]() |
| ECS2117B | SC-PEG-SC, MW 2K | |
| ECS4233A | SC-PEG-SC, MW 3.4K | |
| ECS4264A | SC-PEG-SC, MW 5K | |
| ECS4311A | SC-PEG-SC, MW 10K | |
| ECS4255A | NHS-PEG-COOH, MW 3.4K | NHS-PEG-Acid ![]() |
| ECS2071A | NHS-PEG-VS, MW 3.4K | NHS-PEG-Vinylsulfone ![]() |
| ECS4135A | NHS-PEG-OH, MW 2K | NHS-PEG-Hydroxy ![]() |
| ECS4354A | SS-PEG-SS, MW 2K | Succinimidyl Succinate ester-PEG-Succinimidyl Succinate ester ![]() |
| ECS4172A | SG-PEG-SG, MW 2K | Succinimidyl Glutarate ester-PEG-Succinimidyl Glutarate ester ![]() |
| ECS4231A | SG-PEG-SG, MW 3.4K | |
| ECS2129A | SPA-PEG-SPA, MW 3.4K | Succinimidyl Propionate-PEG-Succinimidyl Propionate ![]() |
| ECS4290A | SCM-PEG-SCM, MW 2K | Succinimidyl Carboxymethyl Ester-PEG-Succinimidyl Carboxymethyl Ester ![]() |
| ECS4195A | SCM-PEG-SCM, MW 5K | |
| ECS4291A | SCM-PEG-SCM, MW 20K | |
| ECS4298A | OPSS-PEG-NHS, MW 5K | Ortho-Pyridyldisulfide-PEG-NHS ![]() |
| ECS4082A | OPSS-PEG-SCM, MW 5K | Ortho-Pyridyldisulfide-PEG-Succinimidyl Carboxymethyl Ester ![]() |
| ECS4199A | AC-PEG-SC, MW 2K | Acrylate-PEG-NHS ![]() |
| ECS2051A | AC -PEG-SVA, MW 3.4K | Acrylate-PEG-Succinimidyl valerate ![]() |
| ECS2098A | AC-PEG-SCM, MW 2K | Acrylate-PEG-SCM ![]() |
| ECS4247A | Biotin-PEG-SCM, MW 600 | Biotin-PEG-Succinimidyl Carboxymethyl Ester ![]() |
| ECS4343A | Biotin-PEG-SC, MW 2K | Biotin-PEG- Succinimidyl ester ![]() |
| EYD0528B | Biotin-PEG-SC, MW 5K | |
| ECS4248A | Biotin-PEG-SS, MW 600 | Biotin-PEG-Succinimidyl Succinate ester ![]() |
| ECS4249A | Biotin-PEG-SG, MW 600 | Biotin-PEG-Succinimidyl Glutarate ester ![]() |
| ECS4246A | Biotin-PEG-SVA, MW 600 | Biotin-PEG-Succinimidyl valerate ![]() |
| ECS4162A | CHO-PEG-OH, MW 2K | Aldehyde-PEG-Hydroxy ![]() |
| ECS2174A | CHO-PEG-CHO, MW 2K | Aldehyde-PEG-Aldehyde ![]() |
相關文獻
[1]李 偉, 張印則, 周華友, 蘭炯采, 章揚培, 張志欣. mPEG 修飾HLA 抗原的方法學研究. 生命科學研究, 2003, 7(4): 374-376.
[2] Dong Hee Na, Kang Choon Lee, Patrick P DeLuca. PEGylation of octreotide: II. Effect of N-terminal mono-PEGylation on biological activity and pharmacokinetics. Pharm Res, 2005, 22(5): 743-9.
[3]馮翠, 王祺, 張純, 秦培勇, 鄭秀玉, 王健, 劉永東, 蘇志國. PEG定點修飾重組人睫狀神經營養因子及其生物活性評價. 中國生物工程雜志, 2015, 35(5): 15-21.
[4] Kynclova E, Elsner E, K?pf A, et al. Novel method for coupling of poly(ethyleneglycol) to carboxylic acid moieties of proteins. Journal of Molecular Recognition, 1996, 9(5-6):644-651.
相關文章
不同分子量聚乙二醇在行業中的應用
熒光PEG修飾劑
PEG在脂質體藥物遞送系統中的應用
PEG化脂質體
多種聚乙二醇修飾脂質體(PEG-脂質體)
修飾性PEG在緩釋和控釋藥物及生物醫藥領域的應用
新冠mRNA疫苗技術解析-關鍵性原料為開發保駕護航
沒有脂質體,就沒有新冠mRNA疫苗 —記新型納米結構脂質體在mRNA疫苗中的應用
ADC Linker之單分散氨基PEG Linker系列
PEG衍生物在PROTAC連接件的應用
PEG修飾劑的常見結構及應用
聚乙二醇修飾化學和PEG修飾劑選擇指南
提供修飾性PEG系列、多功能mPEG、接枝多功能基團和其它各種聚合物及衍生物的定制服務
熒光PEG修飾劑
PEG在脂質體藥物遞送系統中的應用
PEG化脂質體
多種聚乙二醇修飾脂質體(PEG-脂質體)
修飾性PEG在緩釋和控釋藥物及生物醫藥領域的應用
新冠mRNA疫苗技術解析-關鍵性原料為開發保駕護航
沒有脂質體,就沒有新冠mRNA疫苗 —記新型納米結構脂質體在mRNA疫苗中的應用
ADC Linker之單分散氨基PEG Linker系列
PEG衍生物在PROTAC連接件的應用
PEG修飾劑的常見結構及應用
聚乙二醇修飾化學和PEG修飾劑選擇指南
提供修飾性PEG系列、多功能mPEG、接枝多功能基團和其它各種聚合物及衍生物的定制服務
PEG可以與藥物共價結合形成復合物,用于控制藥物的釋放,延長藥物的半衰期,降低免疫原性和抗原性,降低毒性,增強藥物靶向性,減少劑量和給藥頻率。PEGylation可以改善許多藥物的藥動學性質。

蛋白質類藥物主要包括細胞因子、酶、抗體、激素等一些具有特殊功能的蛋白質。由于天然或重組的未經修飾的蛋白質類藥物具有半衰期短、有一定的免疫原性、溶解度低、毒副作用大、易被蛋白酶降解等缺點,從而減弱了其臨床效果。
目前,用于預防、治療和診斷疾病的多肽類藥物主要包括多肽疫苗、抗腫瘤多肽、抗病毒多肽、多肽導向藥物、細胞因子模擬肽、抗菌性活性肽、診斷用多肽以及其他藥用小肽等。
修飾機理
PEG修飾蛋白質和肽類藥物可以延長藥物的半衰期、降低免疫原性,同時盡量保留其生物活性。其機理為:蛋白質經過PEG化學修飾之后,修飾劑與蛋白質分子偶聯,使得蛋白質的分子量增大,空間結構發生改變。PEG在被清除前不會被降解,PEG的屏障作用保護了蛋白質不易被蛋白酶降解,同時減少了抗體的產生,當修飾后的蛋白質分子量達到或超出腎小球濾過作用的閔值時,蛋白質隨血液循環進入腎臟后就可以逃避腎小球濾過作用,因而可以在血液循環中停留更長的時間。
主要修飾位點
在構成蛋白質的20種常見氨基酸中,只有具有極性的氨基酸殘基的側鏈基團才能夠進行PEG修飾。其親核活性通常按下列順序依次遞減:巰基>α-氨基>?-氨基>羧基>羥基。常用的氨基酸是蛋白質序列中的半胱氨酸、賴氨酸以及氮末端和碳末端氮基酸。
PEG和蛋白質或多肽之間的反應主要為?;磻?、烷基化反應、氧化還原反應、芳香環取代反應等,對蛋白、肽類藥物修飾途徑主要有氨基修飾(包括N端氨基的酰化修飾、賴氨酸側鏈氨基的酰化修飾、N端氨基的烷基化修飾)、羧基修飾、巰基修飾,還有其它如控制pH選擇性修飾蛋白質側鏈基團、金屬離子或酶催化、糖蛋白中糖基定點修飾等。
1)氨基修飾
氨基修飾常用修飾劑為PEG-SS、PEG-SC、PEG-SPA、PEG-NHS、PEG-BTC、PEG-CHO、PEG-ALD、PEG-tresylate和PEG-epoxide等。
人類白細胞抗原(Human leucocyte antigen, HLA)是保持個體穩定的一組糖蛋白,在移植免疫中起著重要作用。為了研究mPEG 有效修飾HLA 抗原,阻斷HLA 抗原與其相應抗體間特異性免疫反應的方法。隨機挑選41例無償血清10ml,用淋巴細胞分離液分離淋巴細胞,用HEPES/RPMI-1640 洗滌3次,調細胞濃度至每毫升2×105左右。在22℃,pH 7.4的PBS介質中,采用濃度梯度法用mPEG-BTC(MW 5kD)修飾淋巴細胞表面HLA-I類抗原。結果顯示經mPEG-BTC取代后的淋巴細胞表面HLA-I類抗原與其相應抗體間的微量淋巴細胞毒試驗為陰性。也就是經mPEG修飾后可以阻斷HLA- I類抗原與其相應抗體間的特異性免疫反應[1]。
將奧曲肽與SPA-mPEG(MW 2000)或ALD-mPEG(MW 2000/5000)進行化學改性,通過生物活性檢測發現,SPA-mPEG修飾的奧曲肽顯示出較低的活性,而ALD-mPEG定點修飾在奧曲肽的N末端,生物活性沒有降低且ALD-mPEG 5K能顯著改善藥代動力學特性[2]。
2)巰基修飾
蛋白質中和多肽中只有半胱氨酸含有巰基,利用巰基的高親核性,可以選取能定向修飾蛋白質和多肽的PEG修飾劑。相對沒有半胱氨酸的蛋白質,可以通過基因工程手段或是Traut’s試劑(2-亞氨氫氯化硫醇)處理蛋白引入巰基反應位點。常用修飾劑為PEG-Mal、PEG-OPSS、PEG-VS、PEG-IA、PEG-DAQ和PEG-Se等。
人睫狀神經營養因子(human ciliary neuronotrophic factor,hCNTF)在中樞神經系統中可以促進神經干細胞的增殖,抑制其向膠質細胞的分化,具有保護受損神經元的功能。采用mPEG-MAL(MW 40kDa),對重組人睫狀神經營養因子突變體CNTF-C17的第17位半胱氨酸巰基進行定點修飾。實驗結果表明,在pH 8.0的Tris-HCl緩沖液體中,蛋白質與修飾劑的比例為1:3,4℃下反應12h,修飾率可達到90%以上,通過陰離子交換層析可獲得純度95%以上的單修飾產物。通過藥代動力學考察,體內循環半衰期相對原蛋白顯著提高了30.3倍[3]。
3)羧基修飾
羧基修飾位點包括天冬氨酸、谷氨酸及末端羧基。首先需將羧基活化,即先將PEG中的羧基轉化為氨基,再在DCCI或EDC存在下與蛋白質的羧基結合,常用的修飾劑為PEG-HZ或PEG-NH2[4]。
單鏈聚乙二醇只有末端可用于修飾新型偶聯藥物,因此載藥量較低。后續不斷開發出支鏈聚乙二醇,支鏈結構在一個或多個端上具有官能團,如末端呈樹枝結構的支鏈PEG、叉狀PEG和多臂PEG等,從而實現多種共軛可能性,且大大增加了載藥量。
PEG修飾劑列表
貨號 | 品名 | 描述 |
| ECS4133A | mPEG-NHS, MW 350 | mPEG-Succinimidyl ester ![]() |
| AJL0190A | mPEG-SC, MW 1K | |
| ACS0112B | mPEG-SC, MW 2K | |
| ECS4382A | mPEG-SC, MW 3.4K | |
| AJL0190B | mPEG-SC, MW 5K | |
| ACS0115B | mPEG-SC, MW 10K | |
| ECS4219A | mPEG-SPA, MW 1K | mPEG-Succinimidyl Propionate ![]() |
| ECS4356A | mPEG-SPA, MW 2K | |
| ECS4275A | mPEG-SPA, MW 5K | |
| ECS4094A | mPEG-SPA, MW 20K | |
| ECS4284A | mPEG-SS, MW 5K | mPEG-Succinimidyl Succinate ester ![]() |
| ECS2001A | mPEG-SCM, MW 20K | mPEG-Succinimidyl Carboxymethyl Ester ![]() |
| ECS2103A | mPEG-SCM, MW 40K | |
| ECS4171A | mPEG-SG, MW 2K | mPEG-Succinimidyl Glutarate ester ![]() |
| ECS4334A | mPEG-SVA, MW 5K | mPEG-Succinimidyl valerate ![]() |
| ECS4154A | mPEG-Mal, MW 350 | mPEG-Maleimide ![]() |
| ECS4155A | mPEG-Mal, MW 500 | |
| ECS4156A | mPEG-Mal, MW 1K | |
| DCS0133A | mPEG-Mal, MW 2K | |
| ECS4168A | mPEG-Mal, MW 4K | |
| mPEG-Mal, MW 5K | ||
| ACS0136A | mPEG-Mal, MW 10K | |
| ACS0137A | mPEG-Mal, MW 20K | |
| ECS4150A | mPEG-ALD, MW 1K | mPEG-Aldehyde ![]() |
| ECS4194A | mPEG-CHO, MW 2K | |
| ACS0121A | mPEG-CHO, MW 5K | |
| ECS4212A | mPEG-EPO, MW 550 | mPEG-Epoxide ![]() |
| ECS4198A | mPEG-EPO, MW 2K | |
| ECS4182A | mPEG-EPO, MW 10K | |
| ECS4317A | mPEG-HZ, MW 350 | mPEG-Hydrazide ![]() |
| ECS4278A | mPEG-HZ, MW 2K | |
| ECS4157A | mPEG-NH2, MW 350 | mPEG-Amine |
| ECS4244A | mPEG-NH2, MW 550 | |
| ECS2165A | mPEG-NH2, MW 1K | |
| ACS0105B | mPEG-NH2, MW 2K | |
| ACS0106B | mPEG-NH2, MW 3.4K | |
| ECS4296A | mPEG-NH2, MW 4K | |
| ACS0107B | mPEG-NH2, MW 5K | |
| ECS2180A | mPEG-NH2, MW 10K | |
| ACS0109B | mPEG-NH2, MW 20K | |
| ECS2069C | Mal-PEG-SCM, MW 2K | Maleimide-PEG-Succinimidyl Carboxymethyl Ester ![]() |
| ECS2069B | Mal-PEG-SCM, MW 5K | |
| ECS2069A | Mal-PEG-SCM, MW 10K | |
| ECS4208A | Mal-PEG-NHS, MW 200 | Maleimide-PEG-NHS ![]() |
| ACS1695B | Mal-PEG-NHS, MW 2K | |
| ECS2072A | Mal-PEG-NHS, MW 3.4K | |
| ECS2065A | Mal-PEG-NHS, MW 5K | |
| ECS4137A | MAL-PEG-SVA, MW 5K | Maleimide-PEG-Succinimidyl valerate ![]() |
| ECS4192A | Mal-PEG-HZ, MW 2K | Maleimide-PEG-Hydrazide ![]() |
| ECS2005A | NHS-PEG-SH,MW 200 | Thiol-PEG- Succinimidyl ester ![]() |
| ECS2006A | NHS-PEG-SH,MW 400 | |
| ECS2007A | NHS-PEG-SH,MW 500 | |
| ECS2017A | SH-PEG-NHS, MW 600 | |
| ECS2009A | NHS-PEG-SH,MW 800 | |
| ECS2010A | NHS-PEG-SH,MW 1K | |
| ECS4307A | SH-PEG-NHS, MW 2K | |
| ECS4407A | SH-PEG-NHS, MW 5K | |
| ECS4205A | SH-PEG-NH2, MW 600 | Thiol-PEG-Amine |
| ECS4095A | SH-PEG-NH2, MW 2K | |
| ECS1978B | SH-PEG-NH2, MW 3.4K | |
| DCS2049A | SH-PEG-NH2, MW 5K | |
| ECS4142A | SH-PEG-NH2, MW 10K | |
| ECS2096A | SH-PEG-COOH, MW 400 | Thiol-PEG-Acid |
| ECS4245A | SH-PEG-COOH, MW 1K | |
| ECS1991B | SH-PEG-COOH, MW 2K | |
| ECS2021A | SH-PEG-COOH, MW 3.4K | |
| ECS2118A | SH-PEG-COOH, MW 5K | |
| ECS2182A | SH-PEG-CHO, MW 5K | Thiol-PEG- Aldehyde |
| ECS4174A | SH-PEG-SH, MW 400 | Thiol-PEG-Thiol |
| ECS4173A | SH-PEG-SH, MW 600 | |
| ECS2084A | SH-PEG-SH, MW 2K | |
| ECS4143A | SH-PEG-HZ, MW 10K | Thiol-PEG-Hydrazide ![]() |
| ECS4383A | SH-PEG-Biotin, MW 200 | Thiol-PEG-Biotin ![]() |
| ECS4412A | SH-PEG-Biotin, MW 5K | |
| ECS4292A | SC-PEG-SC, MW 400 | Succinimidyl ester-PEG-Succinimidyl ester ![]() |
| ECS2117B | SC-PEG-SC, MW 2K | |
| ECS4233A | SC-PEG-SC, MW 3.4K | |
| ECS4264A | SC-PEG-SC, MW 5K | |
| ECS4311A | SC-PEG-SC, MW 10K | |
| ECS4255A | NHS-PEG-COOH, MW 3.4K | NHS-PEG-Acid ![]() |
| ECS2071A | NHS-PEG-VS, MW 3.4K | NHS-PEG-Vinylsulfone ![]() |
| ECS4135A | NHS-PEG-OH, MW 2K | NHS-PEG-Hydroxy ![]() |
| ECS4354A | SS-PEG-SS, MW 2K | Succinimidyl Succinate ester-PEG-Succinimidyl Succinate ester ![]() |
| ECS4172A | SG-PEG-SG, MW 2K | Succinimidyl Glutarate ester-PEG-Succinimidyl Glutarate ester ![]() |
| ECS4231A | SG-PEG-SG, MW 3.4K | |
| ECS2129A | SPA-PEG-SPA, MW 3.4K | Succinimidyl Propionate-PEG-Succinimidyl Propionate ![]() |
| ECS4290A | SCM-PEG-SCM, MW 2K | Succinimidyl Carboxymethyl Ester-PEG-Succinimidyl Carboxymethyl Ester ![]() |
| ECS4195A | SCM-PEG-SCM, MW 5K | |
| ECS4291A | SCM-PEG-SCM, MW 20K | |
| ECS4298A | OPSS-PEG-NHS, MW 5K | Ortho-Pyridyldisulfide-PEG-NHS ![]() |
| ECS4082A | OPSS-PEG-SCM, MW 5K | Ortho-Pyridyldisulfide-PEG-Succinimidyl Carboxymethyl Ester ![]() |
| ECS4199A | AC-PEG-SC, MW 2K | Acrylate-PEG-NHS ![]() |
| ECS2051A | AC -PEG-SVA, MW 3.4K | Acrylate-PEG-Succinimidyl valerate ![]() |
| ECS2098A | AC-PEG-SCM, MW 2K | Acrylate-PEG-SCM ![]() |
| ECS4247A | Biotin-PEG-SCM, MW 600 | Biotin-PEG-Succinimidyl Carboxymethyl Ester ![]() |
| ECS4343A | Biotin-PEG-SC, MW 2K | Biotin-PEG- Succinimidyl ester ![]() |
| EYD0528B | Biotin-PEG-SC, MW 5K | |
| ECS4248A | Biotin-PEG-SS, MW 600 | Biotin-PEG-Succinimidyl Succinate ester ![]() |
| ECS4249A | Biotin-PEG-SG, MW 600 | Biotin-PEG-Succinimidyl Glutarate ester ![]() |
| ECS4246A | Biotin-PEG-SVA, MW 600 | Biotin-PEG-Succinimidyl valerate ![]() |
| ECS4162A | CHO-PEG-OH, MW 2K | Aldehyde-PEG-Hydroxy ![]() |
| ECS2174A | CHO-PEG-CHO, MW 2K | Aldehyde-PEG-Aldehyde ![]() |
相關文獻
[1]李 偉, 張印則, 周華友, 蘭炯采, 章揚培, 張志欣. mPEG 修飾HLA 抗原的方法學研究. 生命科學研究, 2003, 7(4): 374-376.
[2] Dong Hee Na, Kang Choon Lee, Patrick P DeLuca. PEGylation of octreotide: II. Effect of N-terminal mono-PEGylation on biological activity and pharmacokinetics. Pharm Res, 2005, 22(5): 743-9.
[3]馮翠, 王祺, 張純, 秦培勇, 鄭秀玉, 王健, 劉永東, 蘇志國. PEG定點修飾重組人睫狀神經營養因子及其生物活性評價. 中國生物工程雜志, 2015, 35(5): 15-21.
[4] Kynclova E, Elsner E, K?pf A, et al. Novel method for coupling of poly(ethyleneglycol) to carboxylic acid moieties of proteins. Journal of Molecular Recognition, 1996, 9(5-6):644-651.
相關文章
不同分子量聚乙二醇在行業中的應用
熒光PEG修飾劑
PEG在脂質體藥物遞送系統中的應用
PEG化脂質體
多種聚乙二醇修飾脂質體(PEG-脂質體)
修飾性PEG在緩釋和控釋藥物及生物醫藥領域的應用
新冠mRNA疫苗技術解析-關鍵性原料為開發保駕護航
沒有脂質體,就沒有新冠mRNA疫苗 —記新型納米結構脂質體在mRNA疫苗中的應用
ADC Linker之單分散氨基PEG Linker系列
PEG衍生物在PROTAC連接件的應用
PEG修飾劑的常見結構及應用
聚乙二醇修飾化學和PEG修飾劑選擇指南
提供修飾性PEG系列、多功能mPEG、接枝多功能基團和其它各種聚合物及衍生物的定制服務
熒光PEG修飾劑
PEG在脂質體藥物遞送系統中的應用
PEG化脂質體
多種聚乙二醇修飾脂質體(PEG-脂質體)
修飾性PEG在緩釋和控釋藥物及生物醫藥領域的應用
新冠mRNA疫苗技術解析-關鍵性原料為開發保駕護航
沒有脂質體,就沒有新冠mRNA疫苗 —記新型納米結構脂質體在mRNA疫苗中的應用
ADC Linker之單分散氨基PEG Linker系列
PEG衍生物在PROTAC連接件的應用
PEG修飾劑的常見結構及應用
聚乙二醇修飾化學和PEG修飾劑選擇指南
提供修飾性PEG系列、多功能mPEG、接枝多功能基團和其它各種聚合物及衍生物的定制服務







































