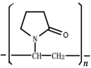
聚乙烯吡咯烷酮(PVP),是由N-乙烯吡咯烷酮(NVP)在一定條件下聚合而形成的非離子型高分子化合物。PVP中形成鏈和吡咯烷酮環的亞甲基是非極性基團,具有親油性,分子中的內酰胺是強極性基團,具有親水作用。它與纖維素類衍生物、丙烯酸類化合物并稱為合成藥中三大重要的藥用輔料,其重要性不言而喻。其在醫藥、化妝品、食品飲料、養殖業、油墨、涂料、紡織印染等工業和新材料領域均有廣泛應用。
PVP分類
PVP根據應用領域不同可分為工業級、醫藥級、食品級、化妝品級,按照聚合方式不同可分為NVP的均聚物、共聚物和交聯聚合物三大類,其中交聯聚合物的研發生產較晚,是近幾年興起的高端產品。PVP類產品用K值來表征PVP的平均分子量,通常K值越大,其粘度越大,粘接性越強,K值實際上是與PVP水溶液的相對粘度有關的特征值。目前市面上常見的PVP類產品包括K15、K30、K90等。
抗菌應用
PVP應用較成功的是在消毒殺菌領域,其本身無殺菌作用。PVP具有優異的絡合小分子的能力,PVP類殺菌劑是PVP與具有抗菌性的物質形成絡合物,常見的就是聚維酮碘(PVP-I)。這種絡合物保持了碘的廣譜殺菌作用,在使用過程中碘從PVP聚合物中釋放,由于PVP對細胞膜的親合作用,能將碘直接引到細菌的細胞表面起到原本的殺菌作用,碘的進攻靶是細菌胞質和胞質膜,會極快的殺死多種類型的細菌、真菌及病毒等,同時又可以避免皮膚的過敏反應,解決了碘溶液的不穩定性和刺激性。
目前PVP類殺菌消毒劑已被廣泛應用在醫療衛生領域中的外科手術、醫療器械、傷口消毒、燙傷處理、潰瘍及各種人體皮膚粘膜等的消毒殺菌工作;在實驗室研究中,可以用于實驗室器械、培養皿和試劑瓶等的消毒和滅菌,細菌和其他微生物的污染可能會影響實驗結果的準確性;在食品、餐飲衛生中用于食品保鮮、餐飲業消毒、食品加工場所消毒、冰箱消毒等;在養殖業中用于治療魚類、貝類、蝦類、蟹類疾病的預防與治療,在畜禽養殖的消毒和疾病治療也有明顯的效果。并逐步取代傳統的碘及含氯和汞的殺菌劑。
抗菌優勢
1) 在基因載體方面的應用
PVP(聚乙烯吡咯烷酮)在消毒殺菌領域可以作為戊二醛的替代品,但具體替代程度取決于使用的濃度和具體應用場景。其在消毒殺菌方面的優勢包括:
1. 安全性高:相比戊二醛,PVP在使用過程中對人體和環境的危害較小。
2. 無毒性:PVP不含有毒物質,不會對人體產生刺激或損害。
3. 抗菌性能:PVP能夠形成絡合物和具有吸附能力,可以吸附細菌和其他微生物,從而減少它們在皮膚表面的數量,從而增強抗菌物質的效果。
PVP產品列表:
貨號 | 品名 | 分子量 |
| 聚乙烯吡咯烷酮 Polyvinylpyrrolidone | ~1300000 | |
| 聚乙烯吡咯烷酮-K90 Polyvinyl pyrrolidone K90 (PVP K90) | ~360000 | |
| 聚乙烯吡咯烷酮-K30 Polyvinyl pyrrolidone K30 (PVP K30) | ~40000 | |
ACQ0065A | 聚乙烯吡咯烷酮-K25 Polyvinyl pyrrolidone K25 (PVP K25) | ~25000 |
ACQ0004B | 聚乙烯吡咯烷酮-K17 Polyvinyl pyrrolidone K17 (PVP K17) | ~10000 |
更多產品詳詢:400-021-8158 / 021-50272975。
聚乙烯吡咯烷酮(PVP),是由N-乙烯吡咯烷酮(NVP)在一定條件下聚合而形成的非離子型高分子化合物。PVP中形成鏈和吡咯烷酮環的亞甲基是非極性基團,具有親油性,分子中的內酰胺是強極性基團,具有親水作用。它與纖維素類衍生物、丙烯酸類化合物并稱為合成藥中三大重要的藥用輔料,其重要性不言而喻。其在醫藥、化妝品、食品飲料、養殖業、油墨、涂料、紡織印染等工業和新材料領域均有廣泛應用。
PVP分類
PVP根據應用領域不同可分為工業級、醫藥級、食品級、化妝品級,按照聚合方式不同可分為NVP的均聚物、共聚物和交聯聚合物三大類,其中交聯聚合物的研發生產較晚,是近幾年興起的高端產品。PVP類產品用K值來表征PVP的平均分子量,通常K值越大,其粘度越大,粘接性越強,K值實際上是與PVP水溶液的相對粘度有關的特征值。目前市面上常見的PVP類產品包括K15、K30、K90等。
抗菌應用
PVP應用較成功的是在消毒殺菌領域,其本身無殺菌作用。PVP具有優異的絡合小分子的能力,PVP類殺菌劑是PVP與具有抗菌性的物質形成絡合物,常見的就是聚維酮碘(PVP-I)。這種絡合物保持了碘的廣譜殺菌作用,在使用過程中碘從PVP聚合物中釋放,由于PVP對細胞膜的親合作用,能將碘直接引到細菌的細胞表面起到原本的殺菌作用,碘的進攻靶是細菌胞質和胞質膜,會極快的殺死多種類型的細菌、真菌及病毒等,同時又可以避免皮膚的過敏反應,解決了碘溶液的不穩定性和刺激性。
目前PVP類殺菌消毒劑已被廣泛應用在醫療衛生領域中的外科手術、醫療器械、傷口消毒、燙傷處理、潰瘍及各種人體皮膚粘膜等的消毒殺菌工作;在實驗室研究中,可以用于實驗室器械、培養皿和試劑瓶等的消毒和滅菌,細菌和其他微生物的污染可能會影響實驗結果的準確性;在食品、餐飲衛生中用于食品保鮮、餐飲業消毒、食品加工場所消毒、冰箱消毒等;在養殖業中用于治療魚類、貝類、蝦類、蟹類疾病的預防與治療,在畜禽養殖的消毒和疾病治療也有明顯的效果。并逐步取代傳統的碘及含氯和汞的殺菌劑。
抗菌優勢
1) 在基因載體方面的應用
PVP(聚乙烯吡咯烷酮)在消毒殺菌領域可以作為戊二醛的替代品,但具體替代程度取決于使用的濃度和具體應用場景。其在消毒殺菌方面的優勢包括:
1. 安全性高:相比戊二醛,PVP在使用過程中對人體和環境的危害較小。
2. 無毒性:PVP不含有毒物質,不會對人體產生刺激或損害。
3. 抗菌性能:PVP能夠形成絡合物和具有吸附能力,可以吸附細菌和其他微生物,從而減少它們在皮膚表面的數量,從而增強抗菌物質的效果。
PVP產品列表:
貨號 | 品名 | 分子量 |
| 聚乙烯吡咯烷酮 Polyvinylpyrrolidone | ~1300000 | |
| 聚乙烯吡咯烷酮-K90 Polyvinyl pyrrolidone K90 (PVP K90) | ~360000 | |
| 聚乙烯吡咯烷酮-K30 Polyvinyl pyrrolidone K30 (PVP K30) | ~40000 | |
ACQ0065A | 聚乙烯吡咯烷酮-K25 Polyvinyl pyrrolidone K25 (PVP K25) | ~25000 |
ACQ0004B | 聚乙烯吡咯烷酮-K17 Polyvinyl pyrrolidone K17 (PVP K17) | ~10000 |
更多產品詳詢:400-021-8158 / 021-50272975。


