
水凝膠的原料包括聚乙二醇(PEG)、聚丙烯酰胺(PAA)、聚丙烯酸(PAAc)、明膠、海藻酸鈉等。在醫療器械中PEG衍生物主要是多臂結構,由于其相對較大的分子量而可以形成水凝膠,可主要用于外科縫合和止血,輔助組織再生和傷口愈合等。
PEG水凝膠的構成
PEG水凝膠的原料包括聚乙二醇(PEG)和交聯劑。其中,PEG是一種生物相容性較好的高分子材料,可以在水中形成凝膠狀態,而交聯劑則是用來將PEG分子交聯在一起,形成三維網絡結構的物質。交聯劑可以是二氧化硅、聚乙烯亞胺、聚丙烯酰胺等。不同的交聯劑可以制備出不同性質的PEG水凝膠。
用來制作水凝膠的PEG修飾劑通常具有-OH、-COOH、-SH、-NH2、-AC、-NHS活性酯、酸酐、酯等官能團,可以與其他化合物發生縮合反應,形成交聯結構,從而制備出具有高度水溶性和生物相容性的水凝膠。
PEG水凝膠的應用
PEG水凝膠的研究進展非常迅速,目前已經涉及到了生物醫學、組織工程、藥物緩釋等多個領域。相對于其他幾種原料,PEG制作的水凝膠具有更好的生物相容性、生物可降解性和可調控性。
未來,PEG水凝膠的市場前景非常廣闊。隨著人們對健康和美容的需求不斷增加,PEG水凝膠在醫療、生物科技、化妝品等領域的應用將會越來越廣泛。同時,隨著技術的不斷進步和應用領域的不斷拓展,PEG水凝膠的性能和應用也將不斷得到改進和創新,未來市場潛力巨大。
PEG水凝膠可用于制備藥物緩釋系統、組織工程、細胞培養、生物傳感器等。在藥物緩釋系統中,如PEG-PLA水凝膠可以作為控制藥物釋放速率的載體。在組織工程中,如PEG-DA水凝膠可以作為支架材料,用于細胞培養和組織修復。在生物傳感器中,如PEG-MA水凝膠可以作為傳感器的敏感層,用于檢測生物分子。
多臂聚乙二醇
多臂聚乙二醇(Multi-Arm Polyethylene Glycol,簡稱MA-PEG)可以用來制作水凝膠。MA-PEG是一種特殊的PEG修飾劑,與線性PEG不同,它具有多個PEG分支,可以形成更復雜的網絡結構,從而提高水凝膠的穩定性和機械強度。
除了多臂聚乙二醇,還有一些其他的聚乙二醇修飾劑也可以用來制作水凝膠,例如線性聚乙二醇(Linear Polyethylene Glycol,簡稱L-PEG)、雙親性聚乙二醇(Amphiphilic Polyethylene Glycol,簡稱A-PEG)等。
多臂聚乙二醇中可以用來制作水凝膠的分支數目在4個以上,例如四臂聚乙二醇(Tetra-Arm Polyethylene Glycol,簡稱4-Arm PEG)和八臂聚乙二醇(Octa-Arm Polyethylene Glycol,簡稱8-Arm PEG)等。
多臂PEG衍生物產品列表
貨號 | 品名 | 結構 |
AYC1246B | 4-Arm-PEG-OH, MW 5K | 4ArmPEG Hydroxyl |
ECS1992A | 4-Arm-PEG-OH, MW 10K | |
ECS2013A | 4-Arm-PEG-OH, MW 20K | |
ECS4153A | 4-Arm-PEG-AC, MW 2K | 4Arm PEG Acrylate |
ECS2028A | 4-Arm-PEG-AC, MW 5K | |
ECS44557A | 4-Arm-PEG-AC, MW10K | |
ECS4261A | 4-ArmPEG-NH2, MW 2K | 4Arm PEG Amine |
ECS4093A | 4-Arm-PEG-NH2, MW 5K | |
ECS4260A | 4-Arm-PEG-NH2, MW 10K | |
ECS2120A | 4-Arm-PEG-NH2, MW 20K | |
ECS4087A | 4-Arm-PEG-COOH, MW 2K | 4Arm PEG Carboxyl |
ECS4265A | 4-Arm-PEG-COOH, MW 5K | |
ECS4367A | 4-Arm-PEG-CHO, MW 2K | 4Arm PEG Aldehyde |
ECS4221A | 4-Arm-PEG-CHO, MW 5K | |
ECS4178A | 4-Arm-PEG-CHO, MW 10K | |
ECS4358A | 4-Arm-PEG-CHO, MW 20K | |
ECS4285A | 4-Arm-PEG-Mal, MW 2K | 4Arm PEG Maleimide |
ECS4266A | 4-Arm-PEG-Mal, MW 5K | |
ECS2073A | 4-Arm-PEG-Mal, MW 10K | |
ECS4235A | 4-Arm-PEG-Mal, MW 20K | |
ECS4177A | 4-Arm-PEG-Mal, MW 40K | |
ECS4097A | 4-Arm-PEG-SH, MW 2K | 4Arm PEG Thiol |
ECS1968B | 4-Arm-PEG-SH, MW 5K | |
ECS4206A | 4-Arm-PEG-SH, MW 10K | |
ECS2074A | 4-Arm-PEG-SH, MW 20K | |
ECS4351A | 4-Arm-PEG-N3, MW 2K | 4Arm PEG Azide |
ECS4340A | 4-Arm-PEG-N3, MW 5K | |
ECS4215A | 4-Arm-PEG-N3, MW 8K | |
ECS4216A | 4-Arm-PEG-N3, MW 10K | |
ECS4201A | 4-Arm-PEG-N3, MW 20K | |
ECS4360A | 4-ArmPEG-HZ, MW 2K | 4Arm PEG Hydrazide |
ECS4323A | 4-Arm-PEG-SC, MW 2K | 4Arm PEG Succinimidyl Carbonate |
ECS4286A | 4-Arm-PEG-SC, MW 10K | |
ACS1803A | 4-Arm-PEG-SCM, MW 10K | 4Arm PEG Succinimidyl Carboxymethyl Ester |
ECS4321A | 4-Arm-PEG-SS, MW 10K | 4Arm PEG Succinimidyl Succinate |
ECS4359A | 4-Arm-PEG-SS, MW 20K | |
ECS4229A | 4-Arm-PEG-SG, MW 2K | 4Arm PEG Succinimidyl Glutarate |
ECS4230A | 4-Arm-PEG-SG, MW 10K | |
ECS4369A | 4-Arm-PEG-SG, MW 20K | |
ECS1998A | 4-Arm-PEG-NCO, MW 5K | 4Arm PEG Isocyanate |
ECS1999A | 4-Arm-PEG-NCO, MW 10K | |
ECS2000A | 4-Arm-PEG-NCO, MW 20K | |
AYC1313B | 8-Arm-PEG-OH, MW 10K | 8Arm PEG Hydroxyl (hexaglycerol) |
ECS2068A | 8-Arm-PEG-OH, MW 20K | |
ECS4288A | 8-Arm-PEG-NH2, MW 2K | 8Arm PEG Amine |
ECS4313A | 8-Arm-PEG-NH2, MW 10K | |
ECS4287A | 8-Arm-PEG-NH2, MW 20K | |
ECS4257A | 8-Arm-PEG-NH2, MW 40K | |
ECS4269A | 8-Arm-PEG-CHO, MW 10K | 8Arm PEG Aldehyde |
EYC1373A | 8-Arm-PEG-N3, MW 10K | 8 Arm PEG Azide |
ECS4314A | 8-Arm-PEG-HZ, MW 10K | 8Arm PEG Hydrazide |
ACS1802A | 8-Arm-PEG-Mal, MW 10K | 8arm PEG Maleimide |
ECS4361A | 8-Arm-PEG-Mal, MW 20K | |
ECS4179A | 8-ArmPEG-Mal, MW 40K | |
ECS44556A | 8-ArmPEG-Alk, MW 10K | 8ArmPEG AlKyne |
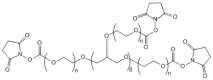
ECS4318-5g | 8-Arm-PEG-AC, MW 10K | 8ArmPEG-Acrylate ![]() |
ECS4320A | 8-Arm-PEG-AC, MW 20K | |
DCS4115A | 8-Arm-PEG-SH, MW 10K | 8arm PEG Thiol |
ECS4467A | 8-Arm-PEG-SH, MW 20K | |
ECS4466A | 8-Arm-PEG-SH, MW 40K | |
ECS4270A | 8-Arm-PEG-SC, MW 10K | 8arm PEG Succinimidyl Carbonate |
ECS4271A | 8-Arm-PEG-SS, MW 10K | 8arm PEG Succinimidyl Succinate |
ECS4138A | 8-Arm-PEG-SG, MW 10K | 8arm PEG Succinimidyl Glutarate ![]() |
更多產品詳詢:400-021-8158 / 021-50272975。

水凝膠的原料包括聚乙二醇(PEG)、聚丙烯酰胺(PAA)、聚丙烯酸(PAAc)、明膠、海藻酸鈉等。在醫療器械中PEG衍生物主要是多臂結構,由于其相對較大的分子量而可以形成水凝膠,可主要用于外科縫合和止血,輔助組織再生和傷口愈合等。
PEG水凝膠的構成
PEG水凝膠的原料包括聚乙二醇(PEG)和交聯劑。其中,PEG是一種生物相容性較好的高分子材料,可以在水中形成凝膠狀態,而交聯劑則是用來將PEG分子交聯在一起,形成三維網絡結構的物質。交聯劑可以是二氧化硅、聚乙烯亞胺、聚丙烯酰胺等。不同的交聯劑可以制備出不同性質的PEG水凝膠。
用來制作水凝膠的PEG修飾劑通常具有-OH、-COOH、-SH、-NH2、-AC、-NHS活性酯、酸酐、酯等官能團,可以與其他化合物發生縮合反應,形成交聯結構,從而制備出具有高度水溶性和生物相容性的水凝膠。
PEG水凝膠的應用
PEG水凝膠的研究進展非常迅速,目前已經涉及到了生物醫學、組織工程、藥物緩釋等多個領域。相對于其他幾種原料,PEG制作的水凝膠具有更好的生物相容性、生物可降解性和可調控性。
未來,PEG水凝膠的市場前景非常廣闊。隨著人們對健康和美容的需求不斷增加,PEG水凝膠在醫療、生物科技、化妝品等領域的應用將會越來越廣泛。同時,隨著技術的不斷進步和應用領域的不斷拓展,PEG水凝膠的性能和應用也將不斷得到改進和創新,未來市場潛力巨大。
PEG水凝膠可用于制備藥物緩釋系統、組織工程、細胞培養、生物傳感器等。在藥物緩釋系統中,如PEG-PLA水凝膠可以作為控制藥物釋放速率的載體。在組織工程中,如PEG-DA水凝膠可以作為支架材料,用于細胞培養和組織修復。在生物傳感器中,如PEG-MA水凝膠可以作為傳感器的敏感層,用于檢測生物分子。
多臂聚乙二醇
多臂聚乙二醇(Multi-Arm Polyethylene Glycol,簡稱MA-PEG)可以用來制作水凝膠。MA-PEG是一種特殊的PEG修飾劑,與線性PEG不同,它具有多個PEG分支,可以形成更復雜的網絡結構,從而提高水凝膠的穩定性和機械強度。
除了多臂聚乙二醇,還有一些其他的聚乙二醇修飾劑也可以用來制作水凝膠,例如線性聚乙二醇(Linear Polyethylene Glycol,簡稱L-PEG)、雙親性聚乙二醇(Amphiphilic Polyethylene Glycol,簡稱A-PEG)等。
多臂聚乙二醇中可以用來制作水凝膠的分支數目在4個以上,例如四臂聚乙二醇(Tetra-Arm Polyethylene Glycol,簡稱4-Arm PEG)和八臂聚乙二醇(Octa-Arm Polyethylene Glycol,簡稱8-Arm PEG)等。
多臂PEG衍生物產品列表
貨號 | 品名 | 結構 |
AYC1246B | 4-Arm-PEG-OH, MW 5K | 4ArmPEG Hydroxyl |
ECS1992A | 4-Arm-PEG-OH, MW 10K | |
ECS2013A | 4-Arm-PEG-OH, MW 20K | |
ECS4153A | 4-Arm-PEG-AC, MW 2K | 4Arm PEG Acrylate |
ECS2028A | 4-Arm-PEG-AC, MW 5K | |
ECS44557A | 4-Arm-PEG-AC, MW10K | |
ECS4261A | 4-ArmPEG-NH2, MW 2K | 4Arm PEG Amine |
ECS4093A | 4-Arm-PEG-NH2, MW 5K | |
ECS4260A | 4-Arm-PEG-NH2, MW 10K | |
ECS2120A | 4-Arm-PEG-NH2, MW 20K | |
ECS4087A | 4-Arm-PEG-COOH, MW 2K | 4Arm PEG Carboxyl |
ECS4265A | 4-Arm-PEG-COOH, MW 5K | |
ECS4367A | 4-Arm-PEG-CHO, MW 2K | 4Arm PEG Aldehyde |
ECS4221A | 4-Arm-PEG-CHO, MW 5K | |
ECS4178A | 4-Arm-PEG-CHO, MW 10K | |
ECS4358A | 4-Arm-PEG-CHO, MW 20K | |
ECS4285A | 4-Arm-PEG-Mal, MW 2K | 4Arm PEG Maleimide |
ECS4266A | 4-Arm-PEG-Mal, MW 5K | |
ECS2073A | 4-Arm-PEG-Mal, MW 10K | |
ECS4235A | 4-Arm-PEG-Mal, MW 20K | |
ECS4177A | 4-Arm-PEG-Mal, MW 40K | |
ECS4097A | 4-Arm-PEG-SH, MW 2K | 4Arm PEG Thiol |
ECS1968B | 4-Arm-PEG-SH, MW 5K | |
ECS4206A | 4-Arm-PEG-SH, MW 10K | |
ECS2074A | 4-Arm-PEG-SH, MW 20K | |
ECS4351A | 4-Arm-PEG-N3, MW 2K | 4Arm PEG Azide |
ECS4340A | 4-Arm-PEG-N3, MW 5K | |
ECS4215A | 4-Arm-PEG-N3, MW 8K | |
ECS4216A | 4-Arm-PEG-N3, MW 10K | |
ECS4201A | 4-Arm-PEG-N3, MW 20K | |
ECS4360A | 4-ArmPEG-HZ, MW 2K | 4Arm PEG Hydrazide |
ECS4323A | 4-Arm-PEG-SC, MW 2K | 4Arm PEG Succinimidyl Carbonate |
ECS4286A | 4-Arm-PEG-SC, MW 10K | |
ACS1803A | 4-Arm-PEG-SCM, MW 10K | 4Arm PEG Succinimidyl Carboxymethyl Ester |
ECS4321A | 4-Arm-PEG-SS, MW 10K | 4Arm PEG Succinimidyl Succinate |
ECS4359A | 4-Arm-PEG-SS, MW 20K | |
ECS4229A | 4-Arm-PEG-SG, MW 2K | 4Arm PEG Succinimidyl Glutarate |
ECS4230A | 4-Arm-PEG-SG, MW 10K | |
ECS4369A | 4-Arm-PEG-SG, MW 20K | |
ECS1998A | 4-Arm-PEG-NCO, MW 5K | 4Arm PEG Isocyanate |
ECS1999A | 4-Arm-PEG-NCO, MW 10K | |
ECS2000A | 4-Arm-PEG-NCO, MW 20K | |
AYC1313B | 8-Arm-PEG-OH, MW 10K | 8Arm PEG Hydroxyl (hexaglycerol) |
ECS2068A | 8-Arm-PEG-OH, MW 20K | |
ECS4288A | 8-Arm-PEG-NH2, MW 2K | 8Arm PEG Amine |
ECS4313A | 8-Arm-PEG-NH2, MW 10K | |
ECS4287A | 8-Arm-PEG-NH2, MW 20K | |
ECS4257A | 8-Arm-PEG-NH2, MW 40K | |
ECS4269A | 8-Arm-PEG-CHO, MW 10K | 8Arm PEG Aldehyde |
EYC1373A | 8-Arm-PEG-N3, MW 10K | 8 Arm PEG Azide |
ECS4314A | 8-Arm-PEG-HZ, MW 10K | 8Arm PEG Hydrazide |
ACS1802A | 8-Arm-PEG-Mal, MW 10K | 8arm PEG Maleimide |
ECS4361A | 8-Arm-PEG-Mal, MW 20K | |
ECS4179A | 8-ArmPEG-Mal, MW 40K | |
ECS44556A | 8-ArmPEG-Alk, MW 10K | 8ArmPEG AlKyne |
ECS4318-5g | 8-Arm-PEG-AC, MW 10K | 8ArmPEG-Acrylate ![]() |
ECS4320A | 8-Arm-PEG-AC, MW 20K | |
DCS4115A | 8-Arm-PEG-SH, MW 10K | 8arm PEG Thiol |
ECS4467A | 8-Arm-PEG-SH, MW 20K | |
ECS4466A | 8-Arm-PEG-SH, MW 40K | |
ECS4270A | 8-Arm-PEG-SC, MW 10K | 8arm PEG Succinimidyl Carbonate |
ECS4271A | 8-Arm-PEG-SS, MW 10K | 8arm PEG Succinimidyl Succinate |
ECS4138A | 8-Arm-PEG-SG, MW 10K | 8arm PEG Succinimidyl Glutarate ![]() |
更多產品詳詢:400-021-8158 / 021-50272975。




