
項目背景
脂蛋白相關磷脂酶A2,英文縮寫Lp-PLA2,又稱血小板活化因子乙酰水解酶,是由441個氨基酸組成,分子量為45kDa。直接參與導致動脈粥樣硬化的血管炎癥反應,更是一種新型的、針對血管內皮炎癥反應的獨立標志物。
西寶生物提供脂蛋白相關磷脂酶A2各種檢測方法的原料,如速率法中Lp-PLA2底物(1-肉豆蔻?;?2-(4-硝基苯基琥珀酰基)-sn-甘油-3-磷酸膽堿, 14:0 NPS PC)、免疫法中Lp-PLA2抗原抗體等,詳情咨詢400-021-8158
脂蛋白相關磷脂酶A2(Lp-PLA2)測定方法
可通過測定血清(漿)Lp-PLA2質量及活性兩種方式反映Lp-PLA2水平,主要包括通過各種免疫學方法,如:酶聯免疫、化學發光、免疫層析、免疫熒光、膠乳增強等檢測酶的質量,及通過速率法檢測酶的活性。
¤ 速率法(水解底物法)
樣本中的LP-PLA2水解底物1-肉豆蔻酰基-2-(4-硝基苯基琥珀?;?-sn-甘油-3-磷酸膽堿的Sn-2位置,生成一種有顏色的產物4-對硝基苯酚,該產物在405 nm處有吸收峰,根據其吸光度的變化速率計算Lp-PLA2的活性。
¤ 雙抗體夾心法(以化學發光為例)
方法將磁微粒和辣根過氧化物酶(HRP)分別標記能識別Lp-PLA2抗原的2株單克隆抗體,當試劑與抗原混合后,包被有抗Lp-PLA2抗體的磁珠和HRP酶標記的抗Lp-PLA2抗體抓捕相應抗原形成雙抗體夾心復合物,經過孵育,洗滌等過程后在激發液(魯米諾-雙氧水系統)的作用下發光,該相對發光強度(RLU)與樣本中的Lp-PLA2濃度呈正相關關系.
¤ 免疫增強比濁法
樣本中的LP-PLA2與試劑中鼠抗人LP-PLA2單克隆抗體的致敏乳膠顆粒發生抗原抗體反應,在促聚劑聚乙二醇作用下產生凝集以使濁度上升,在546nm波長檢測反應液吸光度的變化,其變化程度與樣本中的LP-PLA2含量成正比。
脂蛋白相關磷脂酶A2(Lp-PLA2)關鍵原料
¤ 速率法關鍵原料
物料編碼:AZE0142B
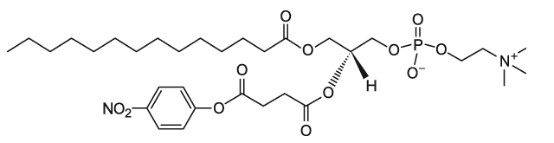
中文名稱:1-肉豆蔻?;?2-(4-硝基苯基琥珀?;?-sn-甘油-3-磷酸膽堿
英文名稱:1-myristoyl-2-(4-nitrophenylsuccinyl)-sn-glycero-3-phosphocholine
CAS#:273931-53-6
分子式:C32H53N2O12P
分子量:688.74
中文名稱:1-肉豆蔻?;?2-(4-硝基苯基琥珀?;?-sn-甘油-3-磷酸膽堿
英文名稱:1-myristoyl-2-(4-nitrophenylsuccinyl)-sn-glycero-3-phosphocholine
CAS#:273931-53-6
分子式:C32H53N2O12P
分子量:688.74

¤ 免疫法關鍵原料
貨號 | 品名 | 配對信息 | 推薦平臺 |
| EKY0100A | Lp-PLA2蛋白 | ELISA、LETIA | |
| EKY0085I | 鼠抗人Lp-PLA2單克隆抗體 | LETIA | |
| EKY0085H | 鼠抗人Lp-PLA2單克隆抗體 | 捕獲 | CLIA |
| EKY0085F | 鼠抗人Lp-PLA2單克隆抗體 | 標記 | |
| EKY0085F | 鼠抗人Lp-PLA2單克隆抗體 | 捕獲 | LFIA |
| EKY0085N | 鼠抗人Lp-PLA2單克隆抗體 | 標記 |
更多反應體系中的緩沖液、表面活性劑及阻斷劑等,請聯系西寶生物400-021-8158。

項目背景
脂蛋白相關磷脂酶A2,英文縮寫Lp-PLA2,又稱血小板活化因子乙酰水解酶,是由441個氨基酸組成,分子量為45kDa。直接參與導致動脈粥樣硬化的血管炎癥反應,更是一種新型的、針對血管內皮炎癥反應的獨立標志物。
西寶生物提供脂蛋白相關磷脂酶A2各種檢測方法的原料,如速率法中Lp-PLA2底物(1-肉豆蔻?;?2-(4-硝基苯基琥珀?;?-sn-甘油-3-磷酸膽堿, 14:0 NPS PC)、免疫法中Lp-PLA2抗原抗體等,詳情咨詢400-021-8158
脂蛋白相關磷脂酶A2(Lp-PLA2)測定方法
可通過測定血清(漿)Lp-PLA2質量及活性兩種方式反映Lp-PLA2水平,主要包括通過各種免疫學方法,如:酶聯免疫、化學發光、免疫層析、免疫熒光、膠乳增強等檢測酶的質量,及通過速率法檢測酶的活性。
¤ 速率法(水解底物法)
樣本中的LP-PLA2水解底物1-肉豆蔻?;?2-(4-硝基苯基琥珀?;?-sn-甘油-3-磷酸膽堿的Sn-2位置,生成一種有顏色的產物4-對硝基苯酚,該產物在405 nm處有吸收峰,根據其吸光度的變化速率計算Lp-PLA2的活性。
¤ 雙抗體夾心法(以化學發光為例)
方法將磁微粒和辣根過氧化物酶(HRP)分別標記能識別Lp-PLA2抗原的2株單克隆抗體,當試劑與抗原混合后,包被有抗Lp-PLA2抗體的磁珠和HRP酶標記的抗Lp-PLA2抗體抓捕相應抗原形成雙抗體夾心復合物,經過孵育,洗滌等過程后在激發液(魯米諾-雙氧水系統)的作用下發光,該相對發光強度(RLU)與樣本中的Lp-PLA2濃度呈正相關關系.
¤ 免疫增強比濁法
樣本中的LP-PLA2與試劑中鼠抗人LP-PLA2單克隆抗體的致敏乳膠顆粒發生抗原抗體反應,在促聚劑聚乙二醇作用下產生凝集以使濁度上升,在546nm波長檢測反應液吸光度的變化,其變化程度與樣本中的LP-PLA2含量成正比。
脂蛋白相關磷脂酶A2(Lp-PLA2)關鍵原料
¤ 速率法關鍵原料
物料編碼:AZE0142B
中文名稱:1-肉豆蔻?;?2-(4-硝基苯基琥珀?;?-sn-甘油-3-磷酸膽堿
英文名稱:1-myristoyl-2-(4-nitrophenylsuccinyl)-sn-glycero-3-phosphocholine
CAS#:273931-53-6
分子式:C32H53N2O12P
分子量:688.74
中文名稱:1-肉豆蔻?;?2-(4-硝基苯基琥珀?;?-sn-甘油-3-磷酸膽堿
英文名稱:1-myristoyl-2-(4-nitrophenylsuccinyl)-sn-glycero-3-phosphocholine
CAS#:273931-53-6
分子式:C32H53N2O12P
分子量:688.74

¤ 免疫法關鍵原料
貨號 | 品名 | 配對信息 | 推薦平臺 |
| EKY0100A | Lp-PLA2蛋白 | ELISA、LETIA | |
| EKY0085I | 鼠抗人Lp-PLA2單克隆抗體 | LETIA | |
| EKY0085H | 鼠抗人Lp-PLA2單克隆抗體 | 捕獲 | CLIA |
| EKY0085F | 鼠抗人Lp-PLA2單克隆抗體 | 標記 | |
| EKY0085F | 鼠抗人Lp-PLA2單克隆抗體 | 捕獲 | LFIA |
| EKY0085N | 鼠抗人Lp-PLA2單克隆抗體 | 標記 |
更多反應體系中的緩沖液、表面活性劑及阻斷劑等,請聯系西寶生物400-021-8158。


