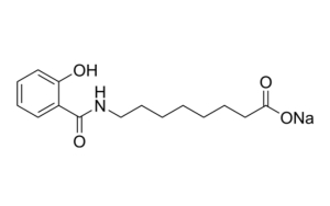
8-(2-羥基苯甲酰胺基)辛酸鈉(SNAC, Salcaprozate sodium, 203787-91-1 )可作為一種口服吸收促進劑,在口服形式的肝素、胰島素等藥物的遞送中具有潛力,獲得較多關注。Salcaprozate sodium 可增加非共價大分子絡合引起的親脂性,從而增加小腸上皮細胞的被動跨細胞滲透。
Seebio品牌細胞因子合集
細胞因子(cytokine,CK)是免疫原、絲裂原或其他刺激劑誘導多種細胞產生的低分子量可溶性蛋白質,具有調節固有免疫和適應性免疫、血細胞生成、細胞生長、APSC多能細胞以及損傷組織修復等多種功能。
光刻膠配方中的“藥引子”—光致產酸劑(Photoacid Generator, PAG)
光致產酸劑(Photo Acid Generator,PAG) 是一類在光、射線、等離子體等輻射下能分解生成特定酸,酸可使酸敏樹脂發生分解或者交聯,從而使光照部分與非光照部分溶解,親和性能產生差異,經過顯影處理后形成影像。光致產酸劑(Photo Acid Generator,PAG)是光刻膠的核心部分,在光形式的輻射能,尤其在紫外區會發生相應的反應。
高質量DNA Ladder
DNA?Ladder是瓊脂糖或丙烯酰胺凝膠電泳中使用的不同長度的DNA分子的溶液,將DNA Ladder和DNA樣品同時加入到凝膠中,根據DNA樣品條帶與DNA?Ladder條帶的位置和明亮度比較,可以參考和估計分離的未知DNA分子的大小。DNA?Ladder是每個DNA處理實驗室經常使用的基本分子。西寶生物提供多種類型高質量DNA Ladder,現貨供應,咨詢服務熱線:400-021-8158或021-50272975
層析介質在疫苗純化中的應用
在過去的30年里,生物工藝技術取得了重大進展和突破,包括許多新興的下游純化創新解決方案。下游技術的進步使疫苗行業受益匪淺,因為純化候選疫苗以及時實現一致的產品純度和質量是疫苗產品開發過程中不可或缺的一部分。層析介質是一種用于分離和純化生物分子的方法,它可以幫助疫苗生產過程中的分離和純化步驟更加高效和可靠。 西寶生物提供各類疫苗純化層析介質,咨詢服務熱線:400-021-8158或021-50272975
血清淀粉樣蛋白A(SAA)-磁微粒化學發光法(AE/AP) /熒光免疫層析解決方案
血清淀粉樣蛋白A是一種急性時相反應蛋白,相對分子量約12kD,主要由肝細胞產生,心臟、骨骼肌等肝外組織也有生成。人的SAA 包括SAA1、SAA2、SAA3和SAA4。根據人體內表達情況,SAA1和SAA2基因合成SAA1和SAA2蛋白,稱為急性期SAA(A-SAA);SAA3 基因在人體內不表達;SAA4 基因合成組成型SAA(C-SAA),在肝臟低水平表達,C-SAA濃度并不隨著病理性(病情)變化而變化。因此在急性時相反應中,迅速升高的是A-SAA。
KroVin 500長效廣譜防霉抗菌劑
在體外診斷試劑行業中,殺菌抑菌等防腐劑的選擇至關重要,決定體外診斷試劑質量的好壞。西寶生物十多年作為生物試劑原料專業服務商,一直致力于提供長效、廣譜、高效、低毒、環保的防腐劑。自主開發的新型無毒環保體外診斷試劑專用防腐劑KroVin500 (KV500),可替代傳統的NaN3、硫柳汞等對人體及環境毒害大的防腐劑產品。
抗體親和層析-高純度重組蛋白A(Seebio? rProtein A)
蛋白A (Staphylococcus Protein A,簡稱SPA)是金黃色葡萄球菌(Staphylococcus aureus)的一種膜蛋白,具有與抗體特異性結合的能力,蛋白A親和層析柱已成為應用廣泛的純化抗體的親和柱,可從腹水、血清和細胞培養上清或細胞抽提物中分離和純化多種哺乳動物不同亞型的抗體或包含抗體Fc片段的基因工程重組蛋白。


